Abstract
Introduction: Rituximab is widely used as the standard treatment for most types of B-cell non-Hodgkin lymphomas (B-NHL). However, infusion-related reactions (IRRs), such as fever, chills, nausea, rashes, rigors, or hypotension, are a significant burden to patients and oncology practitioners. Thus, we developed a novel protocol on the rituximab administration to avoid severe IRRs during a short-time infusion in the outpatient chemotherapy center of Nihon University Itabashi Hospital.
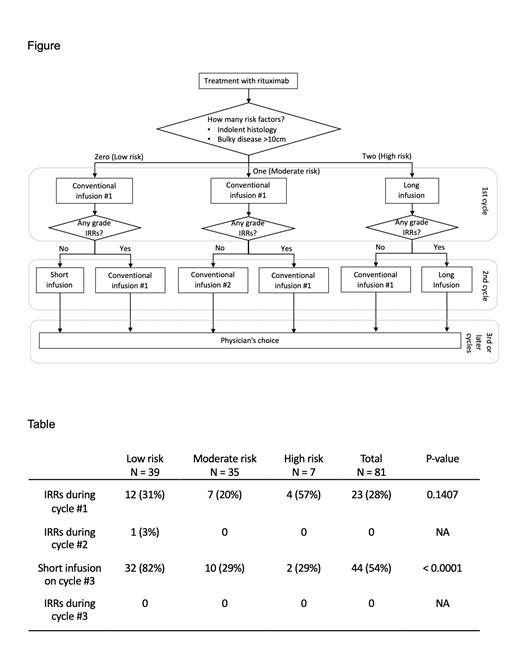
Methods: This observational study aimed to establish an effective dosing schedule for safely administering rituximab within a short time for patients with various B-NHL types. Rituximab was diluted to a concentration of 1 mg/mL and intravenously administered to patients at a dose of 375 mg/m 2. Before the rituximab administration, prophylactic premedications were given per guidelines. We stratified patients into low (n = 0), moderate (n = 1), or high risk (n = 2) groups according to the observed number of risk factors for IRRs identified in our previous study, i.e., indolent histology and presence of bulky disease (>10cm) (Hayama et al. 2017, PMID: 28144804). In the low- and moderate-risk groups, the infusion rate of rituximab was set at 25 mg/h (first 1h), 100 mg/h (next 1h), and a maximum of 200 mg/h thereafter (conventional infusion #1, approx. 4.3h). In the high-risk group, the infusion rate of rituximab was set at 25 mg/h (first 1h) and a maximum of 100 mg/h thereafter (long infusion, approx. 6.8h). The second infusion of rituximab was dependent on the occurrence of IRRs in the first cycle. If a patient in the low-risk group did not have IRRs in the first cycle, the infusion rate of rituximab in the second cycle was then started at 100 mg/h for the first 30min and increased by 100 mg/h every 30min to a maximum of 400 mg/h thereafter (short infusion, approx. 2.3h). Also, for a patient in the moderate-risk group without any grade of IRRs in the first cycle, the infusion rates of second rituximab was set at 100 mg/h (first 1h) and a maximum of 200 mg/h thereafter (conventional infusion #2, approx. 3.5h). Finally, a patient in the high-risk group without IRRs in the first cycle received the second rituximab as per the conventional infusion #1. If patients experienced any grades of IRR in the first cycle, the next rituximab was administered on the same schedule as the first cycle. The infusion procedure for the third cycle was at the discretion of attending physicians (Figure). The primary endpoint was the incidence of IRRs during the first and second doses of rituximab in each risk group. The secondary endpoints were; overall incidence of IRRs in the first and second doses of rituximab; infusion rates of rituximab at the IRRs; conversion rate of the short infusion at the third cycle in each group; overall conversion rate of the short infusion at the third cycle.
Results: A total of 81 B-NHL patients treated with rituximab in 2018 and 2019 at Nihon University Itabashi Hospital was evaluated. The incidence of IRRs during the first and second cycles in each risk group was 31%, 20%, and 57% in the low- (n = 39), moderate- (n = 35), and high-risk (n = 7) groups, respectively, with no significant difference among the three risk groups (p = 0.1407). The overall incidence of IRRs was 28% without grade 3 or higher severity. The IRRs occurred most frequently at the infusion rate of 100 mg/h (n = 16). Conversion rates to the short infusion at the third cycle of rituximab were 82%, 29%, and 29%, in the low-, moderate-, and high-risk groups, respectively, with a significant imbalance between the groups (p <0.0001). The overall conversion rate of the short infusion in the third cycle was 54%, without any grades of IRRs (Table).
Conclusions: Our step-by-step infusion protocol of rituximab provided a safe and comfortable drug administration for both patients and oncology practitioners. In addition, the protocol can reduce unexpected, severe adverse reactions to rituximab that typically require hospital admission and medical expenses (UMIN-CTR, UMIN000032309).
Miura: Chugai: Honoraria; Kyowa Kirin: Honoraria. Hatta: Pfizer Japan Inc.: Honoraria; Novartis KK: Honoraria; Bristol-Myers Squibb: Honoraria; Otsuka Pharmaceutical.: Honoraria.

This feature is available to Subscribers Only
Sign In or Create an Account Close Modal